RRC ER Scouts & Guides Quota Recruitment 2025: Notification Out for Group C & D Posts

RRC ER Scouts & Guide Quota Recruitment 2025: Railway Recruitment Cell (RRC), Eastern Railway, Kolkata has released a notification for recruitment against Scouts & Guides Quota for the year 2025–2026. The vacancies include 3 posts in Level-2 (Group ‘C’) and 10 posts in Level-1 (Erstwhile Group ‘D’), covering both Eastern Railway and Chittaranjan Locomotive Works … Read more

Haryana CET Recruitment 2025: Registration for Group C posts begins today at hssc.gov.in

May 28, 2025 12:25 PM IST Haryana CET Recruitment 2025 registration begins today at hssc.gov.in. The steps to apply is given here.  Haryana Staff Selection Commission will begin the registration process for HSSC Haryana CET Recruitment 2025 on May 28, 2025. Candidates who want to apply for Common Entrance Test for Group C posts can … Read more

DGAFMS Group C Recruitment 2025: Exam Date Out, Check Now

DGAFMS Group C Recruitment 2025: The Directorate General of Armed Force Medical Service has released the Exam Date for the recruitment of Group[ C Posts. The total number of posts for DGAFMS Group C Recruitment 2025 is 113. The DGAFMS Group C Recruitment 2025 Notification has been released on 6 January 2025 and Online Application … Read more

RRC NR Recruitment 2025: Apply for Group C & Group D Posts

RRC NR Recruitment 2025: The Railway Recruitment Cell has released the official Notification for the recruitment of Group C & Group D Posts. The total number of posts for RRC NR Recruitment 2025 is 23. The RRC NR Recruitment 2025 Notification has been released on 21 May 2025 and Online Application will be accepted from … Read more

AP High Court Recruitment 2025: Apply for 1621 Group C Posts

AP High Court Recruitment 2025: The Andhra Pradesh High Court has released the official Notification for the recruitment of Group c Posts. The total number of posts for AP High Court Recruitment 2025 is 1621. The AP High Court Recruitment 2025 Notification has been released on 7 May 2025 and Online Application will be accepted … Read more

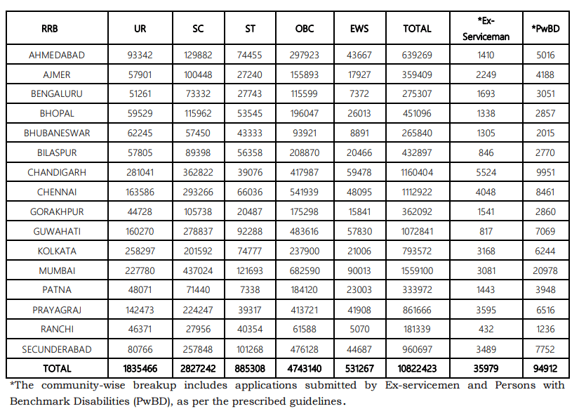
RRB Group D Recruitment 2025: Zone Wise Revised Data, Check Zone Wise Total Fill Form

RRB Group D Notification 2025: Railway Recruitment Board (RRB) has released the Total Application Form for the recruitment of Various Posts in Level 1 of 7th CPC Pay Matrix (Also Known as Group D Posts). The RRB Group D Notification via Advertisement Number CEN 08/2024 has been released and the online applications are invited from … Read more

Customs Pune Group C Recruitment 2025: Apply for Various Type Posts

Customs Pune Group C Recruitment 2025: The Office of the Commissioner Pune has released the official Notification for the recruitment of Tradesman, Seaman & Greaser Posts. The total number of posts for Customs Pune Group C Recruitment 2025 is 14. The Customs Pune Group C Recruitment 2025 Notification has been released on 26 April 2025 … Read more

TNPSC Group IV 2025: Registration begins at tnpsc.gov.in, direct link to apply

Tamil Nadu Public Service Commission, TNPSC, has released the notification for Group IV services and invited online applications for direct recruitment to the posts in Combined Services Examination -IV. Interested and eligible candidates can apply before May 24 at tnpsc.gov.in. TNPSC Group IV 2025 notification released at tnpsc.gov.in, direct link to apply This recruitment drive … Read more

UKSSSC Group C Recruitment 2025: Apply for Patwari, Inspector, Officer & Assistant Posts

UKSSSC Group C Recruitment 2025: The Uttarakhand Subordinate Service Selection Commission has released the official Notification for the recruitment of Group C Posts. The UKSSSC Group C Recruitment 2025 Notification has been released on 9 April 2025 and Online Application will be accepted from 15 April 2025 to 15 May 2025. The total number of … Read more

UKSSSC Group C Recruitment 2025: Notification out for 416 VDO & other posts at sssc.uk.gov.in

The Uttarakhand Subordinate Service Selection Commission has invited applications for Group C posts. Eligible candidates who want to apply for Village Development Officer and other posts can do it through the official website of UKSSSC at sssc.uk.gov.in. UKSSSC Group C Recruitment 2025: Notification out for 416 VDO & other posts This recruitment drive will fill … Read more

Join our community updates